CREDITS & SOURCES -- "Tell The Truth, Cenk — Part One, Chunk 1-First 46 Minutes"
The FULL VERSION is in production but here are the credits and sources of the footage and reporting in the first 46 minute chunk.
The first 46 minutes of “Tell The Truth, Cenk”:
Update-May 24, 2024: Middle 38 Minutes of the film now live:
(sources for this is in the works, will update)
For more info on the film project and how you can support, click here. Financial and promotional assistance is most needed. Please spread the word. Thank you
Footage authorized under fair use.
Copyright Disclaimer Under Section 107 of the Copyright Act 1976, allowance is made for "fair use" for purposes such as criticism, comment, news reporting, teaching, scholarship, and research. Fair use is a use permitted by copyright statute that might otherwise be infringing. Non-profit, educational or personal use tips the balance in favor of fair use.
- Fully updated as of 4.10.2024
- Sources in order of appearance
- Video links are YouTube unless otherwise noted
~
0:00 - VO: “On February 12, 2020, a group of workers at The Young Turks came forward with a union.”
~
Feb 12 2020 - TYT Union Tweet
”The crew of @TheYoungTurks has organized! #UnionStrong #TooStrong #tytlive”
https://twitter.com/TYTUnion/status/1227639310037352448
Jul 30 2020 - Nomiki Konst Video
Ana Kasparian “This Twitter page pops up and it’s TYT Union.”
Ana Kasparian On Solidarity Within Independent Media | Nomiki Konst
Nov 24 2019 - Bernie Sanders Tweet
https://twitter.com/berniesanders/status/1198661555908468737
Dec 7 2019 - C-SPAN Video (site: C-SPAN)
Bernie: ”If fifty percent of workers …”
Teamsters Labor Forum in Iowa | C-SPAN
End of discussion —
https://twitter.com/People4Bernie/status/1121146691501973504 (video)
https://twitter.com/CNNPolitics/status/1229948691383046144 (video)
She’s The Man (2006)
~
0:37 - VO: “After nine days of silence …”
~
The Simpsons - The Cartridge Family
Feb 21 2020 - TYT Union Tweet
https://twitter.com/TYTUnion/status/1230910051742666752
Feb 21 2020 - IATSE Tweet
https://twitter.com/IATSE/status/1230911325242564608
Feb 21 2020 - The Young Turks Tweet
https://twitter.com/TheYoungTurks/status/1230939303762522112

Feb 21 2020 - Sarah Jones Tweet
“… this isn’t what ‘voluntary recognition’ means. this is classic unionbusting”
https://twitter.com/onesarahjones/status/1230954562716041216
Total Recall (1990)
The 4 Articles & TYT’s Union Busting Playbook
Army of Darkness (1992)
Sourced from original reporting including portions of Cenk Ugyur’s emails to workers, none of which has been refuted by The Young Turks.
Feb 24 2020 —
Huffington Post by Dave Jamieson
The Young Turks' Progressive Founder Urged His Staff Not To Unionize
Mar 5 2020 —
In These Times by Hamilton Nolan
The Young Turks Union Fight Gets Nastier With Charges of Retaliatory Firing, Withholding Raises
Mar 5 2020 —
The New Republic by Kim Kelly
The Myth of the Progressive Boss
Apr 10 2020 —
Politico by Alex Thompson
Inside the union campaign that roiled left-wing network The Young Turks
- Cenk’s Union-Busting Emails on Alex Thompson’s Twitter
~
1:38 - Quick Montage
~
Feb 21 2020 - The Young Turks Tweet
“other motives at play” https://twitter.com/TheYoungTurks/status/1230939303762522112
Feb 21 2020 - Cenk Uygur Tweet
”So genuine!”
https://twitter.com/cenkuygur/status/1230954505014931456
Feb 21 2020 - Ana Kasparian Tweet
“bad faith.”
https://twitter.com/AnaKasparian/status/1230959639975489541
Feb 21 2020 - Ana Kasparian Tweet
“extremely suspicious”
https://twitter.com/AnaKasparian/status/1230959639975489541
Feb 21 2020 - Ana Kasparian Tweet
“@IATSE WHY did you endorse her!? Gross.”
https://twitter.com/AnaKasparian/status/1231044309350154240
Feb 21 2020 - Ana Kasparian Tweet
“@IATSE claims to care about worker’s rights.”
https://twitter.com/AnaKasparian/status/1231046229204750336
Feb 21 2020 - Ana Kasparian Tweet
“You proud of endorsing her ’@IATSE?”
https://twitter.com/AnaKasparian/status/1231046675436752896
Feb 24 2020 - The Young Turks Tweet
“ploy to intimidate us”
https://twitter.com/TheYoungTurks/status/1231988486187581441
Jul 30 2020
Screenshot:
Ana Kasparian On Solidarity Within Independent Media | Nomiki Konst
Oct 7 2021 - The Young Turks Video
Cenk Uygur: “Our relationship got off to a bumpy start in the beginning.”
HUGE NEWS! IATSE Union and TYT Reach Deal | The Young Turks
~
1:45 - VO: “What makes this unique is that most CEOs desperate to avoid a union are not talk show host politicians like Cenk Uygur”
~
Feb 12 2020 - Cenk for Congress Video
Outsiders are America
Jan 20 2015 - Rotten Tomatoes Indie Video
Mad as Hell Official Trailer 1 (2015) - Documentary HD
The Muppets
~
2:00 - VO: “The other tactics, all documented in these four articles…”
See above
~
NLRB CASES & ANTI-WORKER LAW FIRMS
NLRB cases involving TYT:
https://www.nlrb.gov/case/31-CA-257501
https://www.nlrb.gov/case/31-CA-257503
TYT’s anti-worker management-side law & consultancy firms:
Lewis, Brisbois, Bisgaard & Smith LLP
”Union Awareness Training and Prevention”
Mitchell Silberberg & Knupp LLP
“union avoidance”
Scrooge McDuck and Money (Walt Disney, 1967)
Oct 7 2021 - The Young Turks Video
“Our relationship got off to a bumpy start in the beginning.”
Oct 7 2021 | HUGE NEWS! IATSE Union and TYT Reach Deal | The Young Turks (0:57)
Mar 28 2020 - TYT Union Tweet
”We are disheartened that Cenk is fighting recognition of our union at ‘the home of progressives.’”
https://twitter.com/TYTUnion/status/1244092469202939904
Apr 10 2020 - Politico Article by Alex Thompson
“surprisingly brutal campaign”
Inside the union campaign that roiled left-wing network The Young Turks
Apr 9 2020 - TYT Union Tweet
”We have voted again and have reaffirmed our decision to organize. We are pleased to announce that @TheYoungTurks has officially recognized @TYTUnion!”
https://twitter.com/TYTUnion/status/1248448082666090497
~
3:16 - VO: “After 18 months of negotiation, a contract was ratified.”
~
Oct 5 2021 - EIN PressWire post by TYT
Union Agreement Ratified Between Members of TYT’s Bargaining Unit and IATSE
Oct 7 2021 - TYT Union Tweet
https://twitter.com/TYTUnion/status/1248448082666090497
~
3:37 - VO: “Hi, I’m Hank. I worked at TYT…”
~
Footage from The Young Turks / The Jimmy Dore Show
Pexels
Officespace (1999)
The Shawshank Redemption (1994)
Problem Child (1990)
~
4:30 - VO: “But nobody expected the guy who built a career telling a camera he supported worker rights to reject a union...”
~

Nov 6 2007 | TV Writers on Strike - Good for Them
Mar 14 2011 | Wisconsin & Anonymous Strike Back!
Jun 17 2011 | Target Anti-Union Ad Stars Union Members
Oct 18 2014 | Jimmy John’s Workers Forced Into Cruel Agreement
Jul 9 2017 | Cities Raise Minimum Wage, State Republicans Block
Sep 6 2018 | Should Teachers Strike for Higher Pay or Do As They Are Told?
(BONUS VIDEO: montage of these statements — @Hank_Thompson’s Twitter)
Willy Wonka and the Chocolate Factory (1971)
~
4:50 - VO: “… and travel back to the day it all hit the fan: February 21, 2020.”
~
Airplane! (1980)
Feb 21 2020 - The Young Turks Tweet
“The fact that IATSE has failed to respond to TYT, instead opting to issue misleading statements, suggests there are other motives at play”
https://twitter.com/TheYoungTurks/status/1230939303762522112
GIFS: Fresh Prince Of Bel-Air, Animated Batman, Bernie Sanders on CNN
Feb 21 2020 - Hank Thompson Tweet
“I laid out a worker’s perspective…”
https://twitter.com/Hank_Thompson/status/1230943495935819776
https://twitter.com/Hank_Thompson/status/1230943988179292160
https://twitter.com/Hank_Thompson/status/1230946459022815232
Star Trek: The Original Series
~
5:42 - VO: “Cenk beams in to spread the lie at 12:15pm.”
~
Feb 21 2020 - Cenk Uygur Tweet
https://twitter.com/cenkuygur/status/1230949208024219648
Game of Thrones
Hamburgler - McDonalds Corporation
Feb 21 2020 - CalStateNorthridge Video
SUN Presents: Congressional District 25 Candidate Forum for the March 3, 2020 Special Election
Batman Forever (1995)
The Outsiders (1983)
The Simpsons
Feb 21 2020 - Cenk Uygur Tweet
”Oh look, in a totally uncoordinated way I’m sure, … So genuine!”
https://twitter.com/cenkuygur/status/1230954505014931456
Feb 21 2020 - Christy Smith Tweet
”- how’s that whole “progressive” thing working out for you? 🤦♀️”
https://twitter.com/ChristySmithCA/status/1230930040621158406
Feb 12 2020 - LA Times Article
Endorsement: Christy Smith is the best choice to replace Katie Hill in Congress
Dec 11 2019 - Roll Call Article
Pelosi endorses Christy Smith in race to replace Rep. Katie Hill
~
7:20 - VO: “At 12:54pm Ana enters the fray…”
~
Feb 21 2020 - Ana Kasparian Tweet
”… I feel extremely uncomfortable w/ @IATSE’s endorsement of Cenk’s congressional opponent…”
https://twitter.com/AnaKasparian/status/1230958950347988992
Feb 21 2020 - Ana Kasparian Tweet
”While I’m personally supportive of unions, this feels like it’s done in bad faith. The fact that this all blew up on the day of Cenk’s debate is also extremely suspicious.”
https://twitter.com/AnaKasparian/status/1230959639975489541
GIFs - “Huh? What? Eh… What?” —
Britney Spears, Funny Dog, Chicago Bulls Jimmy Butler
~
8:02 - VO: “Later that night during the candidate forum, she goes after IATSE three times…”
~
Feb 21 2020 - Ana Kasparian 8-Tweet Thread
https://twitter.com/AnaKasparian/status/1231043798907514882
Feb 21 2020 - Ana Kasparian Tweet
“@IATSE WHY did you endorse her!? Gross.”
https://twitter.com/AnaKasparian/status/1231044309350154240
Feb 21 2020 - Ana Kasparian Tweet
“@IATSE claims to care about worker’s rights.”
https://twitter.com/AnaKasparian/status/1231046229204750336
Feb 21 2020 - Ana Kasparian Tweet
“You proud of endorsing her @IATSE?”
https://twitter.com/AnaKasparian/status/1231046675436752896
Sarah Palin’s Alaska on TLC
~
8:22 - VO: “She then tweeted erroneous information about the union claiming to represent a majority of workers, which was not at all true…”
~
Feb 21 2020 - Ana Kasparian Tweet
”… as a worker,” … “They claim they’re representing the will of the majority of TYT employees, including producers.”
https://twitter.com/AnaKasparian/status/1231056251049533440
~
8:51 - VO: “As a worker, Ana’s had personal experience with how scary asking for a raise can be.”
~
Oct 13 2014 - The Young Turks Video
Ana Kasparian: “That’s why I have an agent.”
Microsoft CEO: Don't Ask For A Raise, Trust Karma
Hungry Hungry Hippos
~
9:43 - VO: “Just ask the himbo-in-chief himself…”
~
Hasan Piker - Videos
Jun 8 2021 | A Twitch Star Is Changing How We Consume News | Vice News
Dec 12 2020 | The Sh*t-Talking Political Bro Who Sparked a Twitch Revolution: The Story of Hasan | theScore esports
Mar 16 2022 | How Hasan Piker Became Our Generation’s Top Political Pundit | Blueprint | Complex
Hasan Piker - Articles
Nov 10 2020 - New York Times by Taylor Lorenz
How Hasan Piker Took Over Twitch
Nov 22 2021 - GameRant by Clayton Cyre
Twitch Streamer Hasan Piker Raises Over $100,000 for Strike Funds
Nov 4 2020 - Vice by Gita Jackson
Hasan Piker's Twitch Stream Is the Future of Election Night Coverage
Sep 16 2021 - Forbes by Dani Di Placido
Nicki Minaj Gets Defensive After Twitch Streamer Hasan Piker Criticizes Tucker Carlson Tweet
Oct 7 2021 - HITC by Dish Kandpal
HASAN PIKER’S SALARY SHOCKS FANS AS TWITCH STAR’S EARNINGS ARE LEAKED
Feb 7 2022 Kotaku by Levi Winslow
Twitch Streamer Hasan Piker Bought A Porsche And People Are Once Again Upset That He's Rich
Feb 6 2022 - GameRant by Nicola Jean Kapron
Twitch Streamer Hasan Piker Trending After Purchasing $200,000 Car
Aug 24 2021 - The Guardian by Arwa Mahdawi
Can a socialist live in a $2.7m mansion?
Meet The Press with Tim Russert Photo
SNL - Daniel Craig - “The weekend” GIF
~
10:22 - VO: “The following Monday, The Young Turks posted a ten-tweet screed hyper focused on IATSE.”
~
Feb 24 2020 - The Young Turks 10-Tweet Thread
https://twitter.com/TheYoungTurks/status/1231988475500482561
Feb 21 2020 - The Young Turks Tweet
“offered / prepared”
https://twitter.com/TheYoungTurks/status/1230939303762522112
~
11:04 - VO: “Actual voluntary recognition marks the start of the negotiation phase but TYT refused to negotiate because they refused to recognize.”
~
Oct 23 2020 - Unicorn NYPBMH Video (original airing uncertain)
Allied Pilots Association (APA) Interview with former union-buster Martin Jay Levitt, author of “Confessions of a Union-Buster”
“Delay was one of my favorite tactics. It wears you down. It frustrates you. It lays the climate for the divisiveness.”
INTERVIEW: Confessions of a Union Buster (Martin Jay Levitt)
~
12:11 - VO: “The thread paints TYT as IATSE’s victim.”
~
Feb 24 2020 - The Young Turks 10-Tweet Thread (5/10)
“… they ambushed us.”
https://twitter.com/TheYoungTurks/status/1231988480181325825
Feb 24 2020 - The Young Turks 10-Tweet Thread (10/10)
”If @IATSE doesn't agree, it's obvious they never had the support of our employees and this was all a ploy to intimidate us and the people who work at TYT.”
https://twitter.com/TheYoungTurks/status/1231988486187581441
12:35 - Arnold Schwarzenegger: “Come on, don’t bullshit me.” — Total Recall (1990)
~
12:42 - VO: “With over a million followers among these three accounts…”
~
Socialblade - The Young Turks
Max Keeble's Big Move (2001)
TYT Cinematic Universe
YouTube Channel - Around The Nation w/ Jeff Waldorf
Feb 21 2020 - Jeff Waldorf Tweet
”The whole situation is suspicious and I'm just not sure about anything anymore…“
https://twitter.com/jeffspolitics/status/1230968663613825025
YouTube Channel - The Humanist Report w/ Mike Figueredo
Feb 21 2020 - 10:59am - Mike Figueredo Tweet
”… love to lend my support to workers…”
https://twitter.com/HumanistReport/status/1230930078676074498
Feb 21 2020 - 11:05am - Mike Figueredo Tweet
”… deleted my tweet. Learned the union they’ve partnered with is in bed with Christy Smith (Cenk’s opponent). I can’t support any organization in cahoots with the Democratic establishment.”
https://twitter.com/HumanistReport/status/1230931524964339712
Feb 21 2020 - 11:30am - Hank Thompson Tweet
”The union drive at TYT had nothing to do with Cenk's campaign. I can confirm. The effort to unionize began well before anyone knew of Cenk's campaign. I know this because I helped start it.”
https://twitter.com/Hank_Thompson/status/1230937847953158144
May 23 2021 | Why Mike HATES Liz Cheney with a Burning Passion | Mike on TYT
Apr 19 2017 TubeFilter Article by Geoff Weiss
The Young Turks Network Signs ‘Humanist Report’ To Growing Channel Roster
Jul 8 2019 - Mike Figueredo Tweet
”I pay them to promote my content.”
https://twitter.com/HumanistReport/status/1148342117418205184
Feb 21 2020 - 11:12am - Chris Richards Tweet
”Refusing to acknowledge a union is right wing.”
https://twitter.com/EclecticRadical/status/1230933234227089408
YouTube Channel - The Eclectic Radical w/ Chris Richards
Feb 21 2020 - 11:17am - Mike Figueredo Tweet
”… I’m waiting until I see the full story.”
https://twitter.com/HumanistReport/status/1230934617231781888
YouTube Channel - The Progressive Voice w/ Sahil Habibi
Nov 22 2018 | Ana Kasparian Gives Me A Shoutout On TYT! | The Progressive Voice
Feb 24 2020 - Sahil Habibi Tweet
“Poor Cenk got snaked by his employees”
https://twitter.com/progressvoice/status/1232042302975037440
Apr 11 2020 | TYT's Cenk Uygur Recognizes TYT Union After "Union Busting" Controversy | The Progressive Voice
Oct 1 2019 | The Progressive Voice Interview With Ana Kasparian | The Young Turks
~
14:42 - VO: “On the right, Cenk’s hypocrisy was gleefully slobbered over by not-at-all insecure cigar daddies Ben Shapiro and Steven Crowder.”
~
Feb 25 2020 | Cenk Uygur Exposes himself as the Biggest Hypocrite Ever | Ben Shapiro
Feb 24 2020 | HAHA! TYT's Union-Busting EXPOSED! | Louder with Crowder | StevenCrowder
~
14:50 - VO: “But voices on the left were mostly silent.”
~
A Quiet Place (2018)
Google Trend Search For “Covid”
Twelve Monkeys (1995)
Ghostbusters (1984)
The Wizard of Oz (1939)
~
15:17 - VO: “Only Means TV reported on the issue.”
~
Mar 12 2020 - Means TV Tweet
”The Young Turks just hired a union busting attorney. Come on @cenkuygur, recognize the @TYTUnion.”
https://twitter.com/means_tv/status/1238214499401961473
Sam Sacks, MeansTV Website, MeansTV YouTube Channel
NLRB cases:
https://www.nlrb.gov/case/31-CA-257501
https://www.nlrb.gov/case/31-CA-257503
~
15:44 - VO: “There’s been no support from TYT legend Ben Mankiewicz or from politicians Nina Turner and Michael Shure.”
~
Jul 24 2008 | Big Congrats To Ben Mankiewicz - At The Movies
Oct 30 2019 | Dennis Miller and Friends: Classic Film Discussion - Ben Mankiewicz | Turner Classic Movies
Sep 19 2021 | Hello Somebody! Nina Turner Joins The Young Turks
Mar 15 2022 | EPIC POLITICS MAN Michael Shure Is Running Congress | TYT’s The Conversation
Jan 25 2019 |Justin Timberlake - Say Something (First Take) ft. Chris Stapleton | Justin Timberlake
Time Bandits (1981)
Harry Potter and the Sorcerer's Stone (2001)
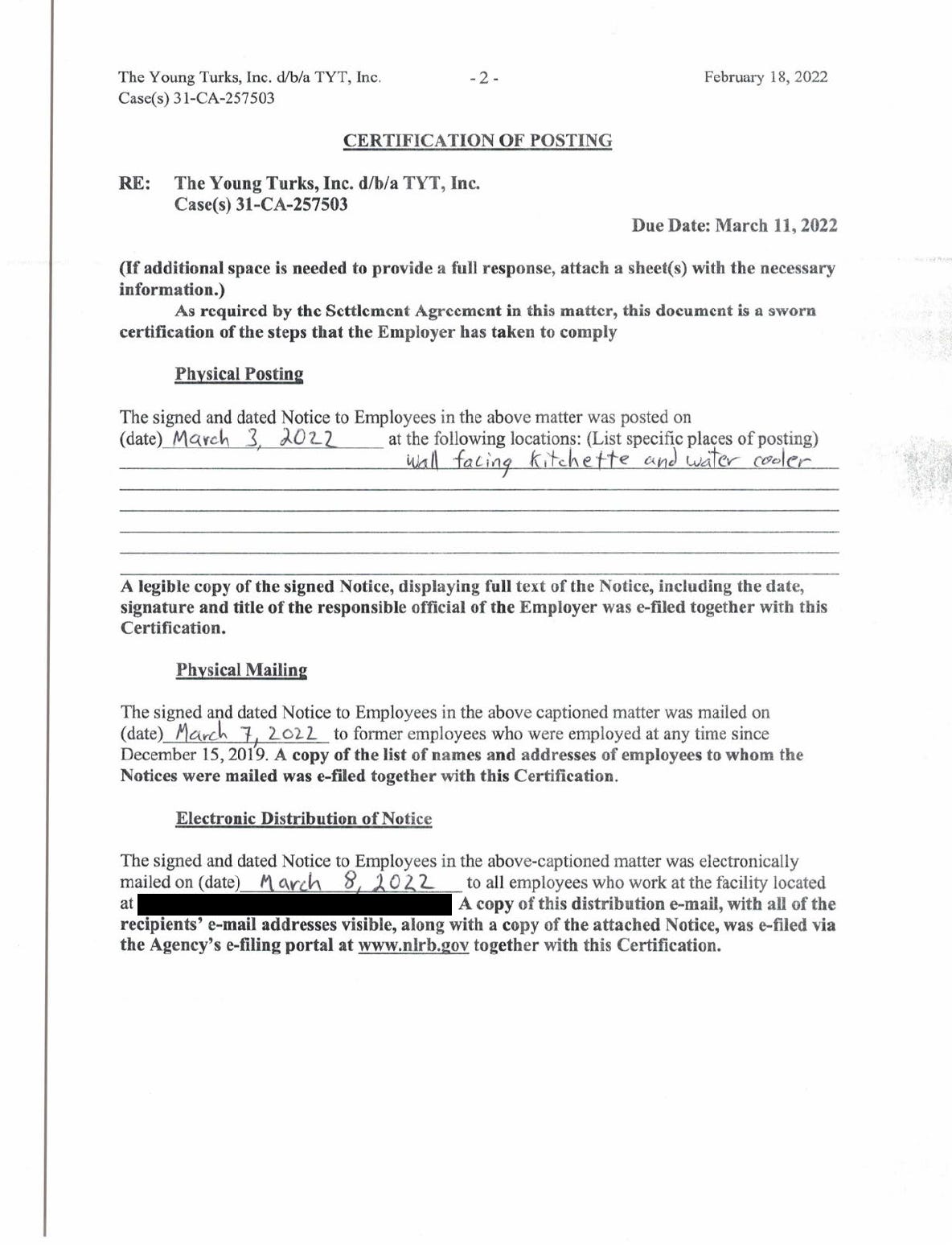
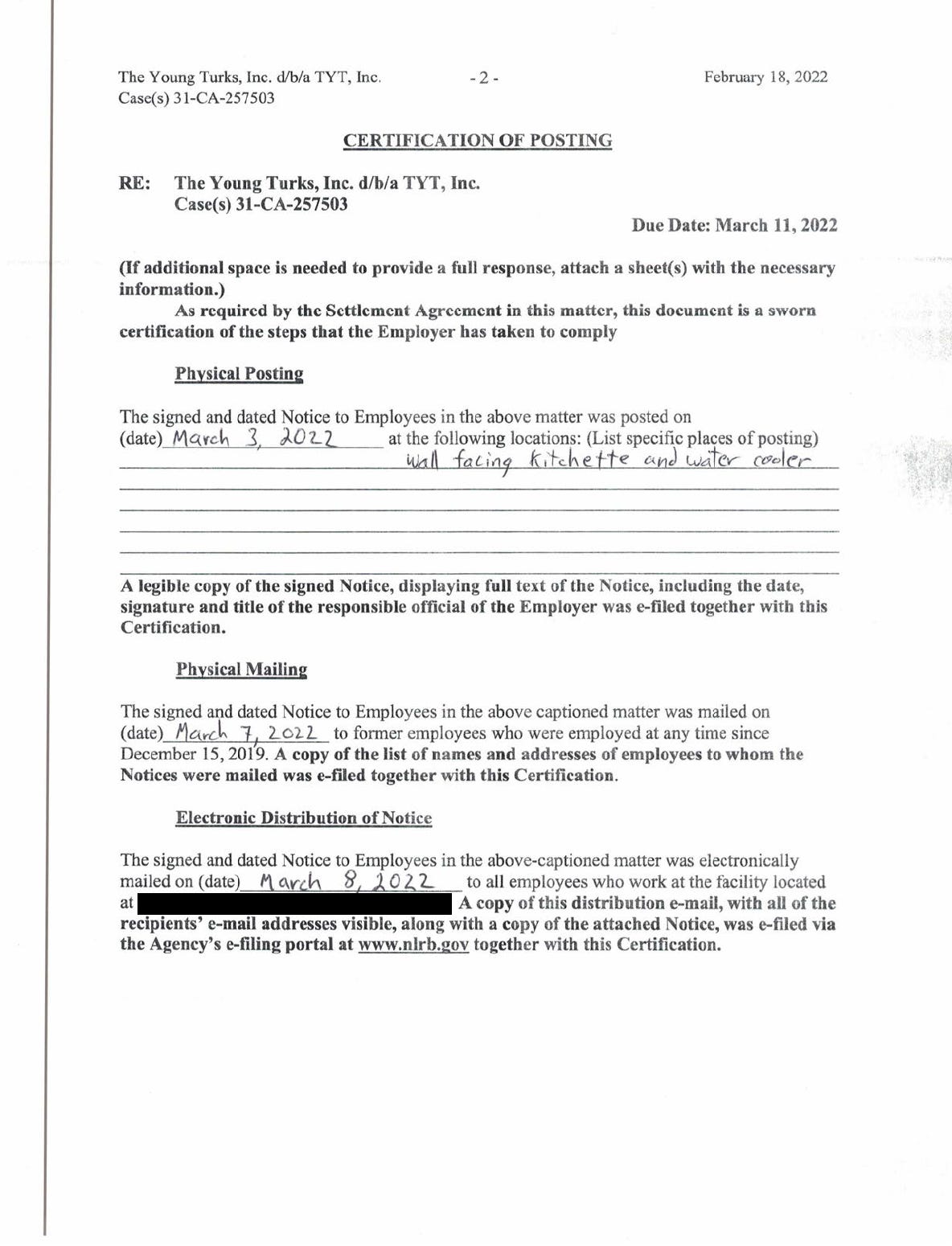
NLRB NOTICE:

Feb 29 2024 - CLIP From “Tell The Truth, Cenk” on WinnersAndLosers
runtime: 4min15sec
The NLRB Notice The Young Turks Didn't Want You To See - CLIP FROM UPCOMING DOCUMENTARY
THE NATIONAL LABOR RELATIONS ACT GIVES YOU THE RIGHT TO:
Form, join, or assist a union;
Choose a representative to bargain with us on your behalf;
Act together with other employees for your benefit and protection;
Choose not to engage in any of these protected activities
WE WILL NOT interfere with, restrain, or coerce you in the exercise of the above rights.
WE WILL NOT promulgate, maintain, or enforce a rule requiring that you bring your complaints only to management.
WE WILL NOT threaten you with unspecified reprisals if you choose to be represented by or support a union.
WE WILL NOT ask you about employee support for a union.
WE WILL NOT in any like or related manner interfere with your rights under Section 7 of the Act.
WE WILL rescind the rule we promulgated in the following statement to employees, “I ask that you all bring your concerns directly to [management] rather than using Slack or emails that get sent to broad audiences” and WE WILL notify employees in writing that this has been done.
The Young Turks, d/b/a TYT, Inc (Employer)
Dated: 3/3/2022 by Dave Koller (Representative) VP Operations (Title)
Batman (TV Series 1966 - 1968)
The Godfather (1972)
Scrooge McDuck and Money (Walt Disney, 1967)
~
17:06 - VO: “For sixty days, evidence that a prominent progressive CEO violated labor laws sat on the wall by the coffee machine… “
~
Nov 29 2020 | Tour of TYT's Rebel Headquarters
TYT Stories About Unions While NLRB Notice Was On The Wall:
Mar 8 2022 | Minneapolis Teachers STRIKE To Benefit Their Students
Mar 24 2022 | Seattle Starbucks Unionizes Against Corporate Overlords
Mar 27 2022 | Applebee’s Exec JUSTIFIES Wage Slavery With Gas Prices
Mar 30 2022 | Amazon Calls On NYPD To ARREST Union Organizers
Apr 1 2022 | Amazon Workers Unionize In Historic Win For Labor
Apr 5 2022 | EXPOSED: Amazon Seeks To Muzzle Workers Looking To Unionize
Apr 5 2022 | Starbucks DESPERATE To Stop Unionization Push By Bringing Back Union-Buster CEO Howard Schultz
Apr 6 2022 | Starbucks Gives Anti-Union Lawyer Millions Instead Of Paying Workers
Apr 20 2022 | Amazon Plays Dirty With Harsher Union-Busting Tactics
Scrooge McDuck and Money (Walt Disney, 1967)
May 1 2022 - John Iadarola on The Damage Report
”Look, we’ve been covering a lot of these actions and we know that these corporations, including some that like to pretend that they— they’re just in this for the best interest of the workers will use many tactics, legal and illegal, to strike back against them.”
May 1 2022 | Starbucks Workers FIGHT BACK Against Anti-Union Tactics | The Damage Report
~
18:15 - VO: “A few weeks after the notice was taken down, Ana expresses frustration at the lack of labor reporting on mainstream outlets.”
~
May 19 2022 - The Young Turks Tweet / Ana Kasparian Video
https://twitter.com/TheYoungTurks/status/1527441213879635968
Last Week Tonight with John Oliver on HBO
Batman Forever (1995)
Major League (1989)
Scrooge McDuck and Money (Walt Disney, 1967)
Star Trek
Nov 13 2019 - Cenk Uygur Files Paperwork To Run For Congress
FEC Form 1 - Cenk For Congress - Statement of Organization 2019
Image number - 201911139165364674
WE’RE TALKIN’ ETHICS (19:09)
~
19:12 - VO: “Since very few politicians are also daily talk show hosts, Cenk’s surprise run for Congress raised legitimate concerns.”
~
Nov 15 2019 - The Young Turks Video
Cenk Uygur announces bid for CA-25 Congressional Seat
Ana Kasparian: “Something that’s important to me is our credibility at The Young Turks as a media company.”
Cenk Uygur: “We’ve gotta do the right thing. Even if we don’t have to, we’ve got to do the right thing and we’re going to.”
Ana Kasparian on Twitter/X - Executive Producer & Host of TYT
Judith Benezra on Twitter/X - Head of Programming @TYT Network (no longer exists)
Ana Kasparian: “I have full editorial control on this program now. There’s obviously a conflict of interest if Cenk had any editorial control and he does not...”
~
20:39 - VO: “A month later, Cenk goes on the Useful Idiots podcast with Katie Halper and Matt Taibbi. At the time, fellow media titan turned politician Michael Bloomberg had been criticized for his policy forbidding Bloomberg reporters from covering their boss’s campaign.”
~
Time Magazine Cover - Michael Bloomberg and Arnold Schwarzenegger
Nov 25 2019 | NPR Article by David Folkenflik
Bloomberg News Says It Won't Cover Owner's Presidential Campaign Or His Rivals
Dec 13 2019 - Useful Idiots with Katie Halper and Matt Taibbi on Rolling Stone
Cenk Uygur on The Young Turks, His Campaign, and Media Coverage of Progressives
Matt Taibbi: “So unlike Mike Bloomberg, if one your people decided to just sort of kick you in the balls at The Young Turks, that would be fine? They’re allowed to do that.”
Cenk Uygur: “Absolutely.”

Oct 7 2021 - The Young Turks Video
”Our relationship got off to a bumpy start.”
HUGE NEWS! IATSE Union and TYT Reach Deal
Oct 5 2021 - EIN PressWire post by TYT
Union Agreement Ratified Between Members of TYT’s Bargaining Unit and IATSE
Wrestling GIF
~
22:33 - VO: “At TYT the journalistic integrity of the hosts and reporters seems nowhere to be found when it comes to reporting on a story that would make the boss uncomfortable.”
~
Teenage Mutant Ninja Turtles
The Shawshank Redemption (1994)
The Matrix (1999)
Time Bandits (1981)
~
22:44 - VO: “And I get it. Compromising your own ethics is simply less stressful than facing the wrath of an all-powerful employer, particularly if the story about said boss is retaliation for challenging his power.”
~
Mar 5 2022 - In These Times Article by Hamilton Nolan
The Young Turks Union Fight Gets Nastier With Charges of Retaliatory Firing, Withholding Raises
Oct 1 2019 - Futurism Article by Dan Robitzski
JUDGE FORCES ELON MUSK TO HIRE BACK FIRED TESLA UNION ORGANIZER
May 9 2022 - Vice Article by Lauren Kaori Gurley
Amazon Just Fired 2 Union Organizers Who Helped Win Amazon’s First Union
Apr 28 2022 - The City Article by Claudia Irizarry Aponte
Queens Chipotle Worker Claims She Was Fired for Leading Union Effort
Feb 8 2022 - HuffPost Article by Dave Jamieson
Starbucks Fires Union Leaders In Memphis
Apr 26 2022 - Engadget Article by Avery Ellis
Verizon fires worker for union organizing, CWA alleges
Apr 21 2022 - IGN Article by Rebekah Valentine
Former Nintendo Employee Accuses Company of Firing Them for Unionization Activities
Parks & Recreation
New Super Mario Bros Wii Worlds
Nov 26 2021 - HasanAbi VODs Backup
HasanAbi November 25, 2021 – UNCLE CENK VISITS, debating Cenk on Socialism, wants to fight Joe Rogan
Originally: Twitch.tv/hasanabi
Star Trek: The Original Series
Time Bandits (1981)
Batman (TV Series 1966 - 1968)
Election (1999)
Pexels
Star Trek: Deep Space Nine
~
24:07 - VO: “Organize your workplace and you might just restore your shattered credibility”
~
Star Trek: Deep Space Nine - Season 4, Episode 16 - “Bar Association”
Rom (reading): ”Workers of the world unite. You have nothing to lose but your chains.”
Mar 20 2012 - star trek - workers of the world unite | somagion
Scrooge McDuck and Money (Walt Disney, 1967)
My Cousin Vinny (1992)
Masters of the Universe (1987)
Oct 7 2021 - The Young Turks Video
”Our relationship got off to a bumpy start in the beginning.”
HUGE NEWS! IATSE Union and TYT Reach Deal
Scrooge McDuck and Money (Walt Disney, 1967)
A Few Good Men (1992)
~
24:42 - VO: “They should tell the truth no matter what. The Young Turks claims its trademark is honesty.”
~

LOGIC, BRO (25:03)
~
25:05 - VO: “Besides insulting his workers, Cenk’s lie proves he doesn’t think much of his audience either.”
~
Star Trek: The Original Series
Batman (TV Series 1966 - 1968)
Apr 10 2020 —
Politico by Alex Thompson
Inside the union campaign that roiled left-wing network The Young Turks
Pro-union quotes by Cenk Uygur:
Nov 6 2007 | TV Writers on Strike - Good for Them
Mar 14 2011 | Wisconsin & Anonymous Strike Back!
Jun 17 2011 | Target Anti-Union Ad Stars Union Members
Oct 18 2014 | Jimmy John’s Workers Forced Into Cruel Agreement
Jul 9 2017 | Cities Raise Minimum Wage, State Republicans Block
Sep 6 2018 | Should Teachers Strike for Higher Pay or Do As They Are Told?
Cenk Uygur Election Results on BallotPedia —

Batman (TV Series 1966 - 1968)
~
28:24 - VO: “The day after Cenk’s emasculating loss he joins Ana to debrief the audience on just what the heck happened...”
~
Mar 4 2020 - TYT’s The Conversation / The Young Turks Video
Cenk Uygur Reflects on His Congressional Campaign
28:40 - Before Montage

Nov 15 2019 - The Young Turks Video
Cenk Uygur announces bid for CA-25 Congressional Seat
Dec 12 2019 - The Young Turks Video
Cenk Gets HUGE Endorsement
Jan 8 2020 - TYT’s The Conversation Video
Cenk Uygur on CA-25 Opponent Christy Smith
Jan 28 2020 - TYT’s The Conversation Video
Cenk Uygur Explains How DCCC TARGETS Progressives
George W Bush on CNN
They Live (1988)
~
31:22 - VO: “That’s almost the same as the official company line so it’s safe to assume she’s referring to the union drive they told their audience came from Nancy Pelosi, but there were other instances that may be fueling her umbrage.”
~
Feb 24 2020 - “ploy to intimidate us and the people who work at TYT.”
https://twitter.com/TheYoungTurks/status/1231988486187581441
Jan 28 2020 - TYT’s The Conversation Video
Cenk’s intimidation story - ‘Cars Broken Into’
Cenk Uygur Explains How DCCC TARGETS Progressives
Dec 16 2019 - The Young Turks Video
Ana’s intimidation story - ‘False Dox Accusation’
Ana Kasparian Responds To NYT Smear Article
~
32:58 - VO: “So for context: bad faith smears had been launched at her famous CEO friend during his political campaign, surprising no one.”
~
Nov 15 2019 - The Young Turks Video
Cenk Uygur: “I’m not in danger, I am the danger.”
Cenk Uygur announces bid for CA-25 Congressional Seat
Breaking Bad: Season 4, Episode 6 - “Cornered”
Dec 11 2019 - Cenk Uygur Tweet
Ro Khanna Endorsement
https://twitter.com/cenkuygur/status/1204872025761878016
Scrooge McDuck and Money (Walt Disney, 1967)
King Kong (1933)
~
34:05 - VO: “A few days later on Nov 19th, the Hollywood Reporter hinted at the upcoming carnage.”
~
Nov 19 2019 - The Hollywood Reporter Article by Peter Kiefer
Cenk ?Uygur Unloads on Rivals in Race to Replace Katie Hill in Congress: “I’m Going to Maul Them”
Dec 23 2017 - HuffPost Article by Daniel Marans
Progressive Group Ousts Cenk Uygur Over Past Sexist Writing
High Fidelity (2000)
One Crazy Summer (1986)
Dec 11 2019 - Roll Call Article by Bridget Bowman
Pelosi endorses Christy Smith in race to replace Rep. Katie Hill
Nov 19 2019 - The Hill Article by Zack Budryk
Kamala Harris endorses Christy Smith in bid to fill Katie Hill’s seat
Nov 21 2019 - The Daily Beast Article by Will Sommer
Dems Fear ‘Carpetbagger’ Cenk Uygur Will Lose Them California Seat
Dec 11 2019 - Cenk Uygur Tweet
Ro Khanna Endorsement
https://twitter.com/cenkuygur/status/1204872025761878016
Dec 11 2019 - Cenk Uygur Tweet
Nina Turner Endorsement
https://twitter.com/cenkuygur/status/1204947978043166720
Apr 27 2016 - WANE 15 News Video
Bernie Sanders plays basketball at Purdue
Dec 12 2019 - The Young Turks Video
”Bernie Sanders endorsed me.”
Cenk Gets HUGE Endorsement
Dec 14 2019 - Fox News Video
Sanders retracts endorsement of 'The Young Turks' host Cenk Uygur
Dec 13 2019 - The Damage Report Video
Cenk Uygur On The State Of His Race
Dec 13 2019 - Washington Free Beacon Video / CNN
Dem Rep: Cenk Uygur Should Be Given a Chance
Dec 13 2019 - LA Times Article by Michael Finnegan
Bernie Sanders retracts endorsement of Californian who defends crude sex ratings of women

Dec 13 2019 - CNN Article by Ryan Nobles and Dan Merica
Sanders endorses controversial candidate in California congressional race
Masters of the Universe (1987)
~
38:48 - VO: “As the day wore on, pressure mounted as more of Cenk’s past statements came to light thanks to a steady drip of clips that had been circulating on Twitter since Cenk announced.”
~
Nov 14 2019 - Receipt Maven Tweet (very long thread)
https://twitter.com/receiptmaven/status/1197922527600877568
Dec 13 2019 - Cenk Uygur 3-Tweet Thread
”The only endorsements I’ll be accepting going forward is that of the voters of CA-25.”
https://twitter.com/cenkuygur/status/1205574348922408960
~
39:33 - VO: “Outlet after outlet signal-boosted the Sanders turnaround…”
~
Dec 13 2019 - NY Post Article by Jon Levine
Bernie Sanders retracts endorsement for Young Turks host Cenk Uygur
Dec 13 2019 - Business Insider Article by James de Villiers
Bernie Sanders endorsed a congressional candidate who once regularly used the N-word and repeatedly made crude comments about women
Dec 14 2019 - NBC News Article by Gary Grumbach, Shaquille Brewster and The Associated Press
Bernie Sanders retracts Cenk Uyger endorsement after backlash
Dec 13 2019 - Advocate Article by Tracy E. Gilchrist
Bernie Sanders Retracts Endorsement of Cenk Uygur for Congress
Dec 13 2019 - Jezebel Article by Esther Wang
Why Did Bernie Sanders Endorse the Extremely Gross Sexist Cenk Uygur [UPDATED]
Dec 13 2019 - Time Article by Lissandra Villa
Why Bernie Sanders Walked Back His Endorsement of Cenk Uygur
Dec 13 2019 - Vox Article by Anna North
Why Bernie Sanders just endorsed, then un-endorsed, a California congressional candidate
Dec 13 2019 - USA Today Article by Savannah Behrmann
Bernie Sanders rescinds endorsement of Cenk Uygur for California Congressional seat
Dec 14 2019 - Variety Article by Todd Spangler
Bernie Sanders Retracts Endorsement of Young Turks Founder Cenk Uygur After Backlash
Dec 13 2019 - Fox News Article by Joseph Wulfsohn
Cenk Uygur says he won't accept endorsements anymore after Sanders backlash
Dec 13 2019 - Politico Article by Jeremy B. White
Bernie rescinds Cenk Uygur endorsement after backlash
Dec 16 2019 - The Daily Beast Article by Scott Bixby
Bernie Rescinds Endorsement After Women’s Groups Blast ‘Misogynist’ Cenk Uygur
Dec 16 2019 - The Young Turks Video
Ana Kasparian: “They are going through thirteen years of video that TYT has produced.”
Ana Kasparian Responds To NYT Smear Article

Dec 13 2019 - LA Times Article by Michael Finnegan
Bernie Sanders retracts endorsement of Californian who defends crude sex ratings of women
Teenage Mutant Ninja Turtles (TV 1987 - 1996)
~
40:17 - VO: “Smith herself dove into the melee.”
~
Punch-Out!! (Nintendo Entertainment System)
Dec 15 2019 - Christy Smith Tweet
”Being a sexist, homophobic, genocide denying racist is the opposite of a progressive. #CA25 people deserve better”
https://twitter.com/christysmithca/status/1206288599555035136
King Kong (1933)
Dec 16 2019 - The Young Turks Video
Ana Kasparian: “We’re now put in this position where we literally have no choice but to respond to the smears that are being put out there by the establishment, plain and simple.”
Ana Kasparian Responds To NYT Smear Article
Dec 15 2019 - Ana Kasparian Tweet
”It’s not her real name. Already digging into this. They think we’re stupid.”
https://twitter.com/AnaKasparian/status/1206433769814515712
~
41:36 - VO: “Most notably, the New York Times did their part by twisting Cenk’s interview with David Duke, which roiled up the Ethical Dark Web.”
~
ETHICAL DARK WEB (41:43)
Mar 1 2024 - CLIP From “Tell The Truth, Cenk” on WinnersAndLosers
runtime: 5min9sec
NY Times Smear Of Cenk Uygur Roils Up The Ethical Dark Web — Clip From Upcoming Documentary
Dec 13 2019 - The New York Times Article by Jennifer Medina
Bernie Sanders Retracts Endorsement of Cenk Uygur After Criticism
Dec 16 2019 - The Majority Report w/ Sam Seder Video
Sam Seder Destroys NYT's Smear On Cenk Uygur
Dec 17 2019 - The Humanist Report Video
NY Times Shamed Into Issuing Correction After Deliberately Smearing Cenk Uygur
Dec 16 2019 - Secular Talk Video
WOW: NYT Publishes Blatant Factual Error About Cenk Uygur, Refuses To Correct & Apologize
Dec 16 2019 - The Rational National
NY Times Publishes Blatant Lie To Smear Cenk Uygur
Dec 16 2019 - Waldorf Nation
DISGUSTING! New York Times Shamelessly Smears Cenk Uygur To Go After Bernie
Dec 16 2019 - The Progressive Voice
Kyle Kulinski EXPOSES New York Times Writer Jenny Medina For LYING & Libeling Cenk Uygur! #Cenk2020
Jan 6 2020 - JRE Clips
Joe Rogan on New York Times’ Cenk Uygur Screw Up
King Kong (1933)
Godzilla vs Kong (2021)
Dec 16 2019 - The Jimmy Dore Show Video
Cenk Uygur Explains Bernie’s Un-Endorsement & Smear Campaign
~UPDATED to completion on 4.10.2024~
- A 2nd large CHUNK (~30minutes) releases in mid-april (link here when availabe)
- FULL VERSION due by end of Summer 2024
















